Skip to content
YAHR
Home
About Us
Team
YAHR Constitution
Affiliation Agreement
Complaints Procedure
Disciplinary Procedure
Equality, Diversity & Inclusion
GDPR Policy
Trustee Code of Conduct
3rd Age Trust Insurance
Safeguarding Policy
Events
Upcoming Events
Past Events
2025-11 Workshop
2025 Summer School
2025-05 AGM & YAHR FORUM
2025-02 Keeping it Legal Workshop
2024 Interest Groups Matter Workshop
2024 Summer School Review
All Past Events
News
March 2026 AGM & YAHR FORUM
2025-11 Workshop
2025 Summer School
2025-05 AGM & YAHR FORUM
2025-02 Keeping it Legal Workshop
2024 Interest Groups Matter Workshop
2024 Summer School Review
YAHR Newsletters
u3a Learning News
u3a Matters
Friends of u3a Newsletter
u3a Radio Podcasts
Local u3as
Local u3a’s by Area
List of u3a’s in the Yorkshire and Humber Region by area
Local u3a’s by Name
Networks
Speaker Directory
Management
Committee Pages
Venues
Contact us
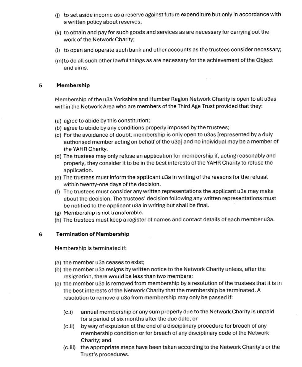
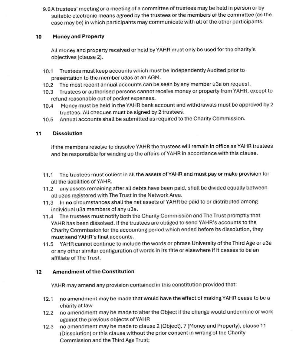
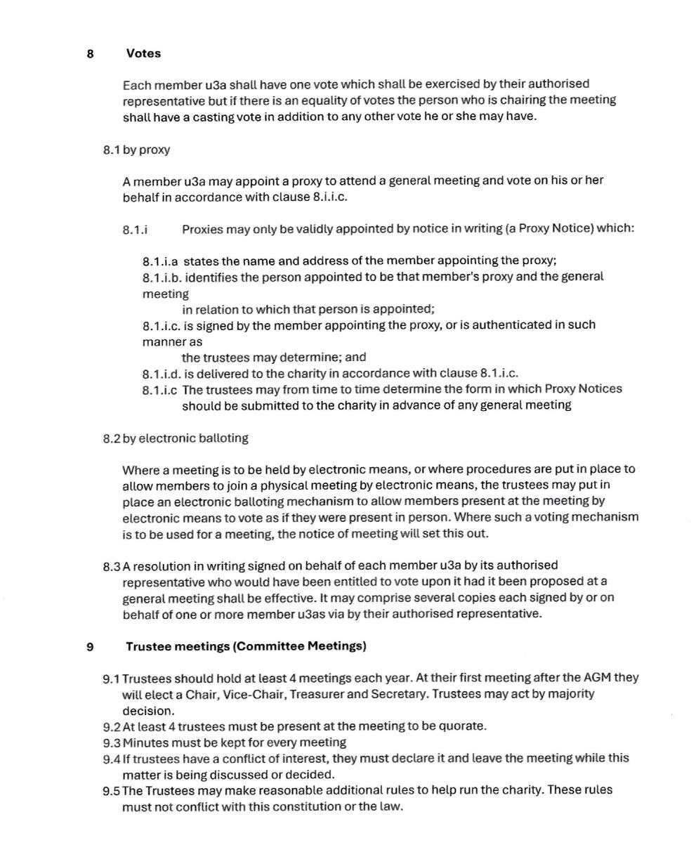
YAHR Constitution
Dated 11th November 2024
Updated May 2026
Select here
to view/download a .pdf version
Close
Previous
Next
Loading Comments...
Write a Comment...
Email
Name
Website
Subscribe
Subscribed
YAHR
Join 34 other subscribers
Sign me up
Already have a WordPress.com account?
Log in now.
YAHR
Subscribe
Subscribed
Sign up
Log in
Copy shortlink
Report this content
View post in Reader
Manage subscriptions
Collapse this bar